|
ClusterSeer provides two tests for temporal clustering under Dat's method; within a single time series (using the z-score) and across several time series simultaneously (using the Chi-squared).
The test statistic, A, is the number of cells containing more than the number of cases expected in the absence of clustering. A large test statistic indicates cluster avoidance such that some of the time intervals have slightly more than the expected number of cases. The test statistic is small when cases cluster in a few time intervals.
t : Number of time intervals
n : Total number of cases observed over t
n/t : Number of cases expected in an interval in the absence of time clustering
A : The test statistic, this is the number of time intervals with at least [n/t-0.5] cases.
[x]: The least integer greater than x. For example, [1.3]=2.
The n cases are distributed at random across the t time intervals. Under this null hypothesis the expectation and variance are

![]()
![]()
Significance
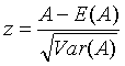
A N(0,1) z-score is calculated as:

The approximate distribution of z is normal with a mean of 0 and unit variance. P-values are evaluated by comparing z to the percentiles of the normal distribution.
When analyzing several time series simultaneously an overall P-value is obtained as a Chi-squared with one degree of freedom:
